Como Sacar La Raiz Cuadrada De Un Polinomio
Raiz Cuadrada De Un Polinomio Grupo De Estudios Fibonacci Facebook


Algebra De Baldor Ejercicio 215 10 Raiz Cuadrada De Polinomios Con Terminos Fraccionarios Youtube

Funcion Raiz Cuadrada Y Valor Absoluto Para Cuarto Grado De Secundaria

Raiz Cuadrada De Un Polinomio Entero Baldor 214 4 Youtube

Como Sacar La Raiz Cuadrada Metodologia Sencilla Facil Y Rapido
Matematicas Raiz Cubica De Polinomios
Lasmatematicas Es Algoritmo De La Raiz Cuadrada Y Polinomios Facebook

Raiz Cuadrada De Un Polinomio Examen De Admision A La Universidad Problema Resuelto Youtube
Matematicas La Funcion Polinomica Radicacion De Expresiones Algebraicas

Extraccion De La Raiz Cuadrada De Un Polinomio Y Su Resto Ejercicio Resuelto Algebra Rubinos Youtube

Matematica2014 Raiz Cuadrada De Polinomios Con Terminos Fraccionarios

Raiz Cuadrada De Un Polinomio Pregunta Resuelta Por El Algoritmo Youtube
Raiz Cuadrada De Polinomios Con Terminos Fraccionarios Algebra Baldor Opentor

Raiz Cuadrada Como Se Calcula Aulaprende

Raiz Cuadrada De Un Polinomio 2018 Youtube
Mateken Raiz Cuadrada De Un Polinomio Y Su Resto Ejercicio Resuelto Explicado Paso A Paso Facebook

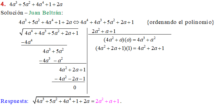
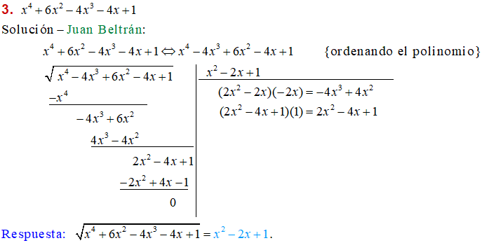
Raiz Cuadrada De Un Polinomio Solo Formulas
![]()
Raiz Cuadrada De Un Polinomio Solo Formulas







Posting Komentar untuk "Como Sacar La Raiz Cuadrada De Un Polinomio"